雾度和透光率是透明或半透明材料光学性能的重要参数。在实际应用上,透光率和雾度是非常重要的,可用于控制产品和研究产品某些光学性能。例如,窗玻璃材料透光率应该高,不应有混浊。相反,用作光学仪器罩的材料要求屏蔽亮光源,使其有最小的透光率和最大的散射。因此,就需要对透明材料的雾度进行测量。本文介绍了雾度仪测量透明材料雾度的方法。

透明材料的雾度和透光率:
雾度(Haze)是指透过试样而偏离入射光方向的散射光通量与透射光通量之比,其单位是百分率。如果透射光线与入射光线的偏离量大于2.5°,这时把这个光通量当作是雾度。一般雾度是由于材料表面缺陷、密度变化或产生光散射的杂质引起的。透光率(Luminous Transmittance)是指透过试样的光通量与射到试样上的光通量之比,用百分数表示。在实际应用上,透光率和雾度是非常重要的,可用于控制产品和研究产品某些光学性能。例如,窗玻璃材料透光率应该高,不应有混浊。相反,用作光学仪器罩的材料要求屏蔽亮光源,使其有最小的透光率和最大的散射。雾度(Haze)和透光率(Luminous Transmitance)是透明或半透明材料光学性能的重要参数。
透明材料的雾度测试方法及标准:
999彩票依据ASTM D1003:2007 Sandard Test Method for Haze and Luminous Transmitance of Transparent Plastics GB/T2410-2008透明塑料透光率和雾度的测定。
999彩票GB/T2410-2008透明塑料透光率和雾度的测定标准修改并采用ASTM D1003:2007 Standard Test Method for Haze and Luminous Transmittance of Transparent Plastics的方法,内容上基本等同。标准中对透明材料雾度和透光率的测试有两种方法:一种是雾度计法,一种是分光光度计法,这里主要介绍雾度计法。
雾度仪测量透明材料的雾度:
1.试样制备
一组三块大小为50×50mm的样片,表面无影响材料性能的缺陷,无对研究造成偏差的缺陷,表面平整,平行,无灰尘、油污、异物及划痕,并同时测量试样的厚度,厚度小于0.1mm时,精确到0.001mm,厚度大于0.1mm时,精确到0.01mm。
2.雾度仪开机校正
雾度仪开机后,点击菜单栏中的校准界面,对仪器进行0%校准和100%校正。0%校正时,用0%校准盖挡住仪器光源进入积分球的所有光线,仪器采集暗讯号。100%校正时,可根据不同类型透射待测样品选择对应的100%校正参照物。通常情况下,如果待测样品为塑胶、玻璃、透明薄膜等样品可以选择空气作为100%校正参照物。校正完成后,进入测试界面。
3.雾度测量
参照GB/T2410-2008透明塑料透光率和雾度的测定标准中雾度计法的读数步骤,通过获得T1、T2、T3、T4四个数据,分别对应入射光通量,通过试样的总透射光通量,仪器的散射光通量,仪器和试样的散射光通量,来最终计算出雾度值。
4.雾度值计算
按照GB/T2410-2008透明塑料透光率和雾度的测定标准中的透光率和雾度的计算公式,计算得到Tt和H。
透光率计算公式:

式中,Tt为透光率,T2为通过试样的总透光量,T1为入射光通量,结果取平均值精确到0.1%。
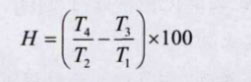
雾度计算公式:

999彩票式中,H为雾度,T4为仪器和试样的散射光通量,T2为通过试样的总透射光通量,T3为仪器的散射光通量,T1为入射光通量,结果取平均值精确到0.1%。





