雾度计是测量透明塑料、玻璃以及其他透明材料对光线的散透射特性,并以雾度来定量表征的仪器。为了保证仪器测试性能的稳定性,就需要对仪器进行校准。本文为大家介绍了用于透明材料雾度测量的雾度计的校准方法,感兴趣的用户可以了解一下!

雾度计的结构组成原理:
雾度计是测量透明塑料、玻璃以及其他透明材料对光线的散透射特性,并以雾度来定量表征的仪器。雾度计主要由积分球、光源、准直系统、样品仓、光陷阱、标准反射板、光电探测器和信号处理等部分组成。
用积分球收集透射光通量,只要积分球各开口的总面积不超过积分球内表面反射面积的4%,任何直径的积分球均可。入射窗口和出射窗口的中心在积分球同一最大圆周上,两者与球中心连线的夹角不低于170°。出射窗和入射窗口中心法线夹角不超过8°。当光陷阱在工作位置,没有放置样品时,入射光束的轴线应穿过入射窗和出射窗的中心。光探测器的位置应位于与入射窗口呈90°士10°的球面上,并加挡屏以阻挡入射窗的直射光照明。要求照射样品的光束为单向平行光,任何光线都不能偏离光束光轴超过3°。该光束不能在积分球的任何窗口产生光晕。当样品置于积分球入射窗口时,样品的法线与入射窗和出射窗中心连线的夹角不能超过8°。当光束没有样品阻挡时,穿过出射窗口的光束应近似为圆形,边界清晰,并且光束中心与出射窗口同心,形成与入射窗法线成1.3°±0.1°的环状光斑。
999彩票测量用照明光源符合国际照明委员会(CIE)要求的C光源或A光源条件。雾度计的基本构成原理如下图所示。

利用雾度计测试雾度样品时,对仪器和样品按照下表的要求进行操作。

雾度计校准条件:
1.校准环境条件
(1)环境温度:(23士5)℃。
(2)湿度:≤80%RH。
(3)电源电压:AC(220士22)V,频率为(50士1)Hz。根据被检仪器的电源要求选用。
2.校准用设备
标准雾度片一套5片,其雾度值分别为1,5,10,20,30左右。标准雾度片的外形尺寸应能刚好置于仪器的样品仓中,一般要求外形尺寸为50mm×50mm,雾度片中央有效测试区域直径不小于Φ30mm。对应各标准雾度片在C光源或A光源下都有确定的雾度值和透射比值。标准雾度片的值必须经过上一级计量部门校准,有校准证书,且校准时间处于有效期内。
雾度计校准方法:
仪器校准前,应检查仪器的外观,不应有影响仪器校准操作的缺陷。仪器检查一切正常后,按照仪器操作使用说明书规定开机预热。
1.仪器零点校准
待仪器预热稳定后,样品仓或样品架上不放置任何样品,以空气作为参比,按照仪器的正常操作步骤,调节仪器的雾度零点和100%透射比。记录仪器雾度零点。
2.雾度零点漂移
999彩票仪器在样品仓未放置任何样品的条件下,调节仪器的雾度测量零点,观察3min。
999彩票读取雾度示值的最大漂移量,即为仪器的雾度零点漂移。
3.雾度示值误差与重复性
(1)根据仪器本身的照明光源测量条件(C光源或A光源),采用对应光源条件下标定量值的一组标准雾度片,对仪器进行雾度校准。
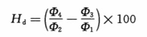
(2)仪器状态稳定后,按照仪器操作说明,用待校准雾度计测定一组五片的标准雾度片。雾度Hd按下式计算:

每片连续测量3次,记录各次雾度测量的仪器示值,然后取平均值,作为该标准雾度片的雾度校准示值。对应每片标准雾度片测量的雾度示值误差按下式计算:

999彩票式中:H'd——各雾度片3次雾度值测量的平均值;Hds——各雾度片的雾度标准值。
用雾度值在10左右的1片雾度片,连续测量3次,计算仪器的雾度测量重复性:

式中:Hdi——第i次雾度测量值。
4.透射比示值误差测量
999彩票(1)用一组五片标准雾度片标定给出的透射比值,以空气为参比,分别测量各标准雾度片的总透射比值。试样的总透射比τt,按式下式计算:
τt=Φ2/Φ1
漫透射比τd为:
999彩票τd=[Φ4-Φ3(Φ2/Φ1)]/Φ1
999彩票每片标准片连续测量3次,然后取平均值,作为该标准雾度片的透射比校准示值。透射比准确度按下式计算:

式中:τ——各雾度片3次透射比测量的平均值;
τs——各雾度片的透射比标准值。
(2)透射比重复性测量
999彩票用一片要求在C光源或A光源条件下透射比在0.80~0.90雾度片,用雾度计测量其透射比值,连续测量3次,透射比重复性按下式计算:

雾度计校准结果表述:
经校准的雾度计发给校准证书。校准证书应至少包括以下信息:
a)标题,如“校准证书”或“校准报告”;
999彩票b)实验室名称和地址;
c)进行校准的地点(如果不在实验室内进行校准);
d)证书或报告的唯一性标识(如编号),每页及总页数的标识;
e)送校单位的名称和地址;
999彩票f)被校对象的描述和明确标识;
g)进行校准的日期,如果与校准结果的有效性和应用有关时,应说明被校对象的接收日期;
h)如果与校准结果的有效性和应用有关时,应对抽样程序进行说明;
i)对校准所依据的技术规范的标识,包括名称及代号;
999彩票j)本次校准所用测量标准的溯源性及有效性说明;
k)校准环境的描述;
i)校准结果及其测量不确定度的说明;
999彩票m)校准证书或校准报告签发人的签名、职务或等效标识,以及签发日期;
n)校准结果仅对被校对象有效的声明;
999彩票o)未经实验室书面批准,不得部分复制证书或报告的声明。





