积分球雾度仪顾名思义就是采用积分球光路结构的一种雾度仪,这种雾度仪的测量精度较高,在透明材料雾度和透光率测量中有着广泛的应用。本文对积分球雾度仪的技术要求及测试原理做了解析。

积分球雾度仪的技术要求:
积分球雾度仪是用于透明材料雾度和透光率测量的光电仪器,其一般需要满足一下技术要求:
1.积分球:用于收集透过的光通量。只要总出入口的面积不超过积分球内反射表面积的4%,任何直径的球均可适用。
2.出口窗和人口窗的中心在球的同一最大圆周上,两者的中心与球的中心构成的角度在170°以上,光电池置于与人口窗中心和球心成90°±10°的球面上。出口窗的直径与人口窗的中心构成角度在8°以内。
3.反射面:积分球内表面、挡板和反射标准板,应具有基本相同的反射率。应在整个可见光波长区具有高反射率和无光泽。
999彩票4.聚光透镜:照射在试样上的光束,应基本上是单向平行光线,不能偏离光轴3以上。光束的中心和出口窗的中心是一致的,这个光束在出人窗口不应引起光晕。在出口窗处光束的截面近似圆形,边界分明;对应人口中心构成角度与出口窗对人口中心构成1.3°±0.1的环带。
999彩票5.陷阱:无试祥和标准板的时候,能够全部吸收光。
6.光电池:球内光的强度用光电池测定。其输出在使用光强范围内和人射光强度成比例,并具有1%以内的精度。当积分球在暗色时检流计无偏转。光电池组合光谱响应为1931CIE 标准色度观测者。
7.检流计:刻度为100等分。
8.光源:标准C光源。
积分球雾度仪测试原理:
积分球雾度仪测试雾度的原理如下图所示,入射光源I0经过试样,光线的一部分被吸收,剩余的部分经过试样的散射作用后,会产生平行光线Ip及散射光线Id进入到积分球中。

进入积分球的光线经过反射后,其强度由光电池检出。
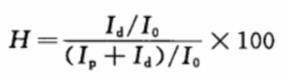
999彩票试样雾度H通过下式计算:

式中:Id为散射光强度;I0为入射光强度;Ip为平行光强度。





