ABS树脂材料作为常用的塑胶原料,由于加工制作等工艺上的差异,就会导致ABS树脂制品在雾度和透光率上存在差异,为了检测ABS树脂材料透光率和雾度的光学品质,就可以使用雾度仪来进行测量。

999彩票 ABS树脂材料透光率的检测:
999彩票 ABS树脂是一种强度高、韧性好、易于加工成型的热塑型高分子材料结构。收到客户寄过来的这种样品,样品大概长8mm,宽5mm,又平局划分成三等分,厚度分别为1mm,2mm,3mm,在3mm的区域分为两种不同程度的磨砂,现在需要测试这种ABS树脂的透光率的4个不同区域的透光率,把样品贴在眼睛上看,感觉完全不透光,现在就可以用专业的雾度仪来进行测试。ABS树脂透光率及雾度测试参照ASTM D1003、GB/T2410-80。

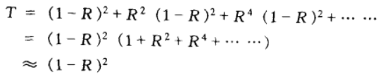
光线在树脂内部多重反射后其全部光通量T按下式表示:

式中R——反射率。
999彩票 透光率是指透过试样的光通量和射到试样上的光通量之比,用百分数表示。而雾度是指透过试样而偏离入射光方向的散射光通量与透射光通量之比,用百分数表示。现在使用仪器可同时测算出透光率和雾度。
999彩票 ABS树脂材料透光率和雾度测试原理:
透光率的定义是透射光与入射光之比,通常所报道的值为透过光的百分率。例如,甲基丙烯酸甲酯能透过垂直入射光的92%。对于垂直的入射光来说,在聚合物-空气界面上,大约反射掉4%。
雾度是表征透明试样其内部或表面发生光散射而引起的云雾状外貌。雾度的定义是当透射光通过试样时,由于前锋散射而偏离入射线方向的透光百分率。如果透射光线与入射光线的偏离量大于2.5°,一般地说是合格的,这时把这个光通量当作是雾度。一般雾度是由于材料表面缺陷、密度变化或产生光散射的杂质引起的。雾度的单位是百分率。
高分子材料透光率和雾度是利用雾度计或分光光度计测定入射光量,通过试样的总透光量,仪器引起的光散射量以及仪器和试样共同引起的光散射量,计算出通过试样的总的透射率、漫射透射率和雾度。
999彩票 雾度是透射测量的一种色度指标,是根据国际指标客观地测量全透过率和透射雾影。适用于一切透明、半透明平行平面样品(塑料板材、片材、塑料薄膜、平板玻璃)的雾度值的测量。此雾度仪只需一次测量就可获得控制透明度的全部参数。

