透光率和雾度是透明材料两项十分重要的光学性能指标,可以通过雾度仪999彩票测试得到。本文为大家介绍了透明材料透光率和雾度测量的原理及方法,感兴趣的朋友可以了解一下!

什么是透光率?
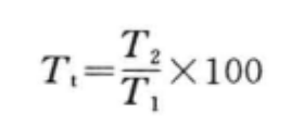
1.透光率
透光率以透过材料的光通量与入射的光通量之比的百分数表示,通常是指标准“C”光源一束平行光垂直照射薄膜、片状、板状透明或半透明材料,透过材料的光通量T2与照射到透明材料入射光通量下之比的百分率。

什么是雾度?
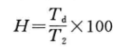
999彩票 雾度又称浊度,透明或半透明材料不清晰的程度,是材料内部或表面由于光散射造成的云雾状或混浊的外观,以散射光通量与透过材料的光通量之比的百分率表示。用标准“C”光源的一束平行光垂直照射到透明或半透明薄膜、片材、板材上,由于材料内部和表面造成散射,使部分平行光偏离入射方向大于2.5°的散射光通量Td与透过材料的光通量T2,之比的百分率,即:

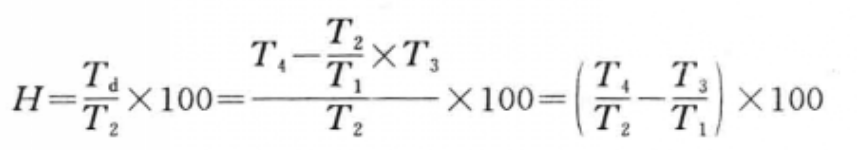
它是通过测量无试样时入射光通量T1与仪器造成的散光通量T3,有试样时通过试样的光通量T2与散射光通量T4来计算雾度值,即:

测试方法原理:
测试中,T1、T2、T3、T4都是测量相对值,无入射光时,接受光通量为0,当无试样时,入射光全部透过,接受的光通量为100,即为T1;此时再用光陷井将平行光吸收掉,接受到的光通量为仪器的散射光通量T3;若放置试样,仪器接受透过的光通量为T2;此时若将平行光用光陷井吸收掉,则仪器接受到的光通量为试样与仪器的散射光通量之和T4。因此根据T1、T2、T3、T4,的值可计算透光率和雾度值。
测试方法要点:
1.测试仪器
测试仪器为积分球式雾度仪,它的原理结构示意图如下:

2.测试步骤
999彩票 ①开启仪器,预热至少20min。
②放置标准板,调检流计为100刻度,挡住入射光,调检流计为0,反复调100和0直至稳定,即T1为100。
999彩票 ③放置试样,此时透过的光通量在检流计上的刻度为T2,去掉标准板,置上陷井,在检流计上所测出的光通量为试样与仪器的散射光通量T4。再去掉试样,此时检流计所测出的光通量为仪器的散射光通量T3。以上测试如下表所示。

999彩票 ④按照③,重复测定5片试样。
⑤终止试验,关闭仪器。
3.结果计算
①透光率Tt,按下式计算:

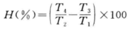
②雾度值H按下式计算:

999彩票 取5片试样的算术平均值作为结果,取到小数点后一位。

