为了检测透明塑料及塑料制品的光学性能,管控透明材料的光学品质,就可以使用雾度仪进行检测。本文介绍了塑料及塑料制品的透光率和雾度测定方法,感兴趣的朋友可以了解一下!

999彩票 塑料及塑料制品透光率和雾度的定义:
999彩票 人们常用透光率和雾度来表征塑料的光学性能,其基本原理是通过板状、片状、薄膜状透过光通量和散射光通量与照射到材料上的光通量之间关系,来求取材料的透光率和雾度。如飞机上的前风挡玻璃、有机玻璃窗、塑料眼镜片、农用薄膜等,都不但要求有足够的透光率,而且要具有足够清晰的雾度值。
透光率一—透过试样的光通量和射到试样上的光通量之比,用百分数表示。
999彩票 雾度一一透过试样而偏离入射方向的散射光通量与透射光通量之比,用百分数表示。
塑料及塑料制品的透光率和雾度测定方法:
试样的尺寸和处理以及试验条件,可详见GB2410-80《透明塑料透光率和雾度试验方法》。并详细阅读使用仪器的说明书。基本测量步骤如下:
①接通电源,使仪器稳定在10min以上。
999彩票 ②测量试样厚度。板状、片状试样测量精确到0.05mm,薄膜试样测量精确到0.001mm。
③调节零点,使积分球在暗色时检流计的指示为零。
④当光线无阻挡时,调节仪器使检流计的指示为100。
999彩票 ⑤接上标准白板,入射光通量为100时检流计读数为T1。
⑥接上试样和标准白板,测得透射光通量,读取检流计读数T2。
999彩票 ⑦移去试样和标准白板,测得仪器的散射光通量,读取检流计读数T3。
999彩票 ③接上试样,不接标准板,测得的仪器和试样的散射光通量读取检流计上读数T4。
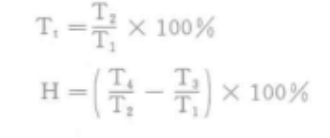
999彩票 塑料及塑料制品的透光率和雾度的计算:
1.每个试样的透光率(Tt)和雾度值(H)按照下式计算:

999彩票 2.实验结果以一组试样的平均值表示,精确到小说点后一位。





