透光率和雾度是透明材料两项十分重要的指标,为了管控透明材料光学性能的品质,就需要使用雾度仪来测量透明材质的透光率和雾度。本文为大家简单的介绍了雾度仪测量透明塑料透光率和雾度的原理及方法,感兴趣的用户可以看看。

雾度仪测量透明塑料透光率和雾度的原理:
透光率和雾度是透明材料两项十分重要的指标,如航空有机玻璃要求透光率大于90%,雾度小于2%。一般来说,透光率高的材料,雾度值低,反之亦然,但不完全如此。有些材料透光率高,雾度值却很大,如毛玻璃。所以透光率和雾度值是两个独立的指标。
透光率是以透过材料的光通量与入射的光通量之比的百分数表示,通常是指标准“C”光源一束平行光垂直照射薄膜、片状、板状透明或半透明材料,透过材料的光通量T2与照射到透明材料入射光通量T1之比的百分率。
雾度又称浊度,是透明或半透明材料不清晰的程度,是材料内部或表面由于光散射造成的云雾状或浑浊的外观,用散射光通量与透过材料的光通量之比的百分率表示。用标准“C”光源的一束平行光垂直照射到透明或半透明薄膜、片材、板材上,由于材料内部和表面造成散射,使部分平行光偏离入射方向大于2.5°的散射光通量Td,与透过材料的光通量T2之比的百分率,即
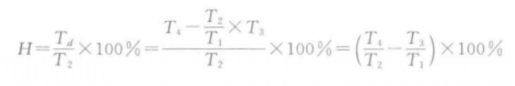
它是通过测量无试样时入射光通量T1,与仪器造成的散射光通量Td,有试样时通过试样的光通量T2与散射光通量Td,来计算雾度值,即
测试中,T1、T2、T3、T4,都是测量相对值,无入射光时,接受光通量为0,当无试样时,入射光全部透过,接受的光通量为100,即为T1;此时再用光陷阱将平行光吸收掉,接受到的光通量为仪器的散射光通量T3;若放置试样,仪器接受透过的光通量为T2;此时若将平行光用光陷阱吸收掉,则仪器接受到的光通量为试样与仪器的散射光通量之和T。因此根据T1、T2、T3、T4的值可计算透光率和雾度值。
雾度仪测量透明塑料的透光率和雾度的方法:
999彩票 1.开启电源进行预热,两窗口显示二小数点,准备指示灯(ready)指示红光,不久“ready”灯指示绿光,左边读数窗出现“P”,右边出现“H”,并发出呼叫声。此时在空白样品的情况下按测试开关,仪器将显示“P100.00”
“H0.00”,如不显示“P100.00”“H0.00”即P<100.0、h>0.00,说明光源预热不够,可重关电源后再开机,重复1~2次,在“P100.00”“H0.00”下仪器预热稳定数分钟,按“TEST”开关,微机采集仪器自身数据后,再度出现“P”“H”并呼叫,即可进行测量。
2.装上样品,按测试钮,指示灯转为红光,不久就在显示屏上显示出透光率数值及雾度数值,前者显示单位为0.1%,后者为0.01%。此时,指示灯转为绿光,需要进行复测时,可不拿下样品,重按测试钮可得到多次测数,然后取其算术平均值作测量结果,以提高测量准确度。更换样品重复TEST可连续测得同一批样的结果。
3.更换样品时,应先按测试钮测空白,指示灯转红光,然后仪器将显示“P100.0”及“H0.00”结果,指示灯显示绿色。一般每测完一组样品应测空白一次,注意测空白后,应再按测试钮,等到准备灯发绿光、仪器发出呼叫后,再测下一组样品。
4.试验结束,关闭仪器。
雾度仪测量透明塑料的透光率和雾度注意事项:
1.各种透明塑料有它自己的光谱选择性,对不同波长的光,透光率是不相同的,同一透明材料用不同光源测定,所得到的透光率与雾度不同。
2.试样厚度增加,透光率下降,雾度增加;只有在同一厚度条件下才能比较材料的透光率和雾度。

