999彩票

雾度仪Haze Meter
全国咨询热线:400-666-2522
您的位置:主页>行业应用

咨询热线

400-666-2522

产品推荐

雾度仪测定透明塑料透光率和雾度

作者:3nh时间:2021-08-09479 次浏览

信息摘要:

透光率和雾度是检验透明材料光学性能的重要指标,因此为了准确的测定透明塑料的透光率和雾度,管控透明塑料的光学品质,就可以使用雾度仪来进性测量。

透光率和雾度是检验透明材料光学性能的重要指标,因此为了准确的测定透明塑料的透光率和雾度,管控透明塑料的光学品质,就可以使用雾度仪来进性测量。本文介绍了雾度仪测量透明塑料透光率和雾度的原理及方法,感兴趣的用户可以了解一下。

透明塑料透光率和雾度测定原理:

999彩票 透光率和雾度是透明材料两项十分重要的光学性能指标。一般来说,透光率高的材料,雾度较低,反之亦然,但不完全如此,有些材料透光率高,雾度却很大,如毛玻璃。所以透光率与雾度值是两个独立的指标。

透光率是以透过试样的光通量和射到试样上的光通量之比,用百分数表示。通常是指标准“C”光源一束平行光垂直照射薄膜、片状、板状透明或半透明材料,透过材料的光通量T2与照射到透明材料入射光通量之比的百分率:

999彩票 雾度又称浊度,透过试样而偏离入射光方向的散射光通量与透射光通量之比,用百分数表示,一般仅把偏离入射光方向2.5以上的散射光通量用于计算雾度。它代表了透明或半透明材料不清晰的程度,是材料内部或表面由于光散射造成的云雾或混浊的外观,用标准“C”光源的一束平行光垂直照射到透明或半透明薄膜、片材、板材上,由于材料内部和表面造成散射,使部分平行光偏离入射方向大于2.5”的散射光通量TD与透过材料的光通量T2之比的百分率,即:

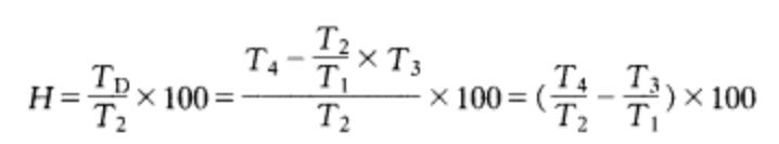
它是通过测量无试样时入射光通量T1与仪器造成的散光通量T3,有试样时通过试样的光通量T2与散射光通量T4:来计算雾度值,即:

试样中,T1、T2、T3、T4都是测量相对值,无入射光时,接受光通量为0,当无试样时,入射光分部透过,接受的光通过量为100,即为T1;此时再用光陷阱将平行光吸收掉,接受到的光通量为仪器的散射光通量T3,若放置试样,仪器接受透过的光通量为T2;此时若将平行光用光陷阱吸收掉,则仪器接受到的光通量为试样与仪器的散射光通量之和T4。因此根据T1、T2、T3、T4的值可计算透光率和雾度值。

雾度仪测定透明塑料透光率和雾度的方法:

999彩票 1.接通电源,使仪器稳定10分钟以上。

999彩票 2.测量试样的厚度。板、片状试样精确到0.05毫米,薄膜试样精确到0.001毫米。

999彩票 3.调节零点旋钮,使积分球在暗色时检流计的指示为零。

4.当光线无阻挡时,调节仪器使检流计的指示为100,然后按下表操作,读取检流计的指示刻度。

5.根据下式计算每个试样的透光率Tt:

6.根据下式计算每个试样的雾度值H:

7.试验结果以一组试样的算术平均值表示,精确到小数点后一位。

【相关推荐】

返回列表 本文标签:
yx06永兴集团 - 首页 yx5978永兴集团 - 首页 yx4999永兴 - 首页 永兴集团yx08 - 首页 永兴集团yx5978 - 首页 永兴集团yx06 - 首页 永兴集团yx08 yx06永兴集团 - 首页